0 of 40 Questions completed
Questions:
You have already completed the examination before. Hence you can not start it again.
Examination is loading…
You must sign in or sign up to start the examination.
You must first complete the following:
0 of 40 Questions answered correctly
Your time:
Time has elapsed
You have reached 0 of 0 point(s), (0)
Earned Point(s): 0 of 0, (0)
0 Essay(s) Pending (Possible Point(s): 0)
R-290 is the refrigerant name for which hydrocarbon?
Based on the kinetic theory of gases, the rate of diffusion of nitrogen at 25C would be ____ times that of carbon dioxide at thrice of the earlier temperature.
Assume that an equal 50/50 mixture by weight of methanol and ethanol forms an ideal solution at 60C, calculate the percentage of ethanol in the vapor above the said solution.
How do you call the temperature wherein a non-ideal gas behaves ideally for an appreciable range of pressure longer compared to the other temperatures?
In a Dry Cell, how many moles of the metallic hydroxide are produced for every mole of zero valent zinc that is decomposed?
Estimate the mass of lead sulfate that will be decomposed in a lead storage cell if a 5-ampere current was allowed to pass through for 30 minutes.
For a Daniell Cell wherein ΔG298/kJ-mol-1 = 0 for Zn(s) and Cu(s), -147.06 for Zn2+(aq) and 65.49 for Cu2+(aq), what is the cell potential at the given condition.
Which of the following cycle uses steam as its typical working fluid?
A Brayton cycle compresses air to a pressure of 88.2 psia. Three moles of air are entering at ambient temperature with a Cp of 7/2R. If the said cycle receives heat at 560 BTU/mol of air, what us the maximum amount of work in BTU that it can produce?
All of the following factors increase the strength of Van der Waals forces between molecules except by an
A tank holds nitrogen gas at 82°C and 940 mmHg. After releasing 2 grams of the gas, the remaining contents inside the tank then exerts a pressure of 480 mmHg at 30°C. How much nitrogen gas was originally in the tank?
A supply line carries a two phase liquid vapour mixture of steam at 300 lbf/in2. A small fraction of the flow in the line is diverted through a throttling calorimeter and exhausted to the atmosphere at 14.7 lbf/in2 and a temperature of 250°F. Determine the percent liquid in the supply steam.
What is the change in the molar Gibbs free energy of hydrogen gas when it is compressed isothermally from 1 atm to 100 atm at 25°C?
A solution freezes at 157°C and is composed of 50 mg of an organic solute and 660 mg of camphor (C10H16O). If the solute contains 10.5% H by weight, determine the molecular formula of the solute. The freezing point of the said solvent is 178.4C and the value of its Kf is 38.
Expressed in meters per second, what is the most probable velocity of an ideal ozone gas at water’s normal boiling point?
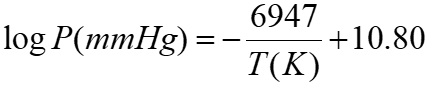
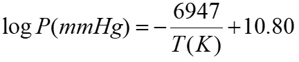
The vapor pressure of liquid arsenic is given by the equation:
While for solid arsenic it is given as:
Find the pressure at which these two phases coexist.
Naphthalene melts at 80.2°C. If the vapor pressure of the liquid is 10 torr at 85.8°C and 40 torr at 119.3°C, calculate the following quantities
The normal boiling point
Naphthalene melts at 80.2°C. If the vapor pressure of the liquid is 10 torr at 85.8°C and 40 torr at 119.3°C, calculate the following quantities:
The entropy of vaporization at the boiling point
Calculate the ΔH°r-298 for the hydrogenation of benzene to cyclohexane given that the enthalpies of combustion at 20C are -3273, -286.1 and -3924 kJ/mol for benzene, hydrogen and cyclohexane respectively.
Calculate the specific gas constant of natural gas in J/g-K.
Liquid water at 0°C and atmospheric pressure has a density of 1.0 g/cc. At the same conditions, ice has a density of 0.917 g/cc. How much work is done in kJ at these conditions by 1.0 kg of ice as it melts to liquid water?
A copper block (Cp = 0.398 kJ/kg-K) having a mass of 15 kg and a temperature of 500K is placed in a well-insulated vessel containing 100 kg of water initially at 300K. The entropy change of the entire process is:
A refrigerator has an input rating of about 500 kW and can absorb heat that is three times its power requirement. What is the coefficient of performance of this engine when operated as a heat pump?
A heat engine absorbs heat from the combustion of gasoline at 2200° It also rejects heat at 1200°C. Calculate the maximum work in calories that can be obtained from a liter of the fuel if its specific gravity is 0.8 and its heat of combustion is 11,200 cal/gram.
The densities of liquid and solid mercury are 13.7 and 14.19 g/cc respectively at a melting point of -38.87° The heat of fusion of Hg is 566 cal/mol. The change in melting point per atmospheric change in pressure is:
For a system containing moist air and water inside a closed container, what is its number of degrees of freedom?
Air will be compressed with the use of a compressor that has a shaft work of 240 KJ/kg and will be further released using a nozzle. The initial velocity is zero with 1 bar as its initial pressure under 250C temperature. The pressure at the end of the compressor has been measured to be 3 bars. The velocity and pressure after the nozzle is said to be 600 m/s and 1 bar respectively. The entire system works in an isothermal condition.
Calculate for the change in the enthalpy involved in the process.
Air will be compressed with the use of a compressor that has a shaft work of 240 KJ/kg and will be further released using a nozzle. The initial velocity is zero with 1 bar as its initial pressure under 250C temperature. The pressure at the end of the compressor has been measured to be 3 bars. The velocity and pressure after the nozzle is said to be 600 m/s and 1 bar respectively. The entire system works in an isothermal condition.
Calculate for the heat involved for the same process in the previous problem.
H2(g) + ½ O2(g) « H2O(l)
Graphite, Buckyball and nanotubes are examples of _______ of the element carbon.
Refer to the equilibrium reaction:
SO2(g) + O2(g) « SO3(g) ΔH = -45kcal
The number of moles of oxygen at equilibrium will decrease if
Refer to the equilibrium reaction:
SO2(g) + O2(g) « SO3(g) ΔH = -45kcal
The concentration of SO3 at equilibrium will decrease if
A chemical engineer injects limestone into the hot flue gas of a coal-burning power plant to form lime, which scrubs SO2 from the gas and forms gypsum. Find Kc for the following reaction if CO2 pressure is in atmospheres.
CaCO3(s) ↔ CaO(s) + CO2(g) Kp = 2.1×10-4 at 1000K
Eight grams of oxygen gas at 27C and 10 atm expands adiabatically and reversibly to a final pressure of 1 atm. The work associated with the process expressed in Joules is
The turbine in a hydroelectric plant is fed by water falling from a height of 30m. Assuming 95% efficiency in converting potential energy to electrical energy and 10% loss of resulting power during transmission, how many metric tons of water per hour are needed to keep a 100W light bulb burning?
It is a process in which there is no energy transfer by heat is called
An Ostwald viscometer was calibrated using water at 25C (η=8.9×10-4 Pa-s and density = 1.00 x 103 kg/m3). The same viscometer was used at -193C to determine the viscosity of liquid air (density = 0.92 x103 kg/m3). Assuming that the time ratio of water to liquid air is 0.193 and neglecting volume changes, find the abovementioned quantity.
Three moles of an ideal diatomic gas at 200K is compressed reversibly and adiabatically until the temperature reaches 50K more than its initial condition. Calculate the work associated with the process given that its Cv = 27.5 J/mol-K.
The fugacity coefficient of a certain gas at 200 K and 50 bar is 0.72. Calculate the difference of its chemical potential from that of a perfect gas in the same state.